- Case report
- Open Access
- Published:
GALC mutations in Chinese patients with late-onset Krabbe disease: a case report
BMC Neurology volume 19, Article number: 122 (2019)
Abstract
Background
Krabbe disease (also known as globoid cell leukodystrophy) cause by a deficiency of the enzyme β-galactocerebrosidase (galactosylceramidase, GALC). The deficiency of GALC leads to accumulation of galactosylceramide and psychosine, the latter GALC substrate having a potential role in triggering demyelination. Typically, the disease has an infantile onset, with rapid deterioration in the first few months, leading to death before the age of 2 years. The late onset forms (late-infantile, juvenile, and adult forms) are rare with variable clinical outcomes, presenting spastic paraplegia as the main symptom.
Case presentation
We recruited a family with two affected individuals. The proband (Patient 1), a 25-year-old male, was presented with slow progressive symptoms, including spastic gait disturbance and vision loss since the 5th year of life. His elder sister (Patient 2), became wheelchair-bound and demented at the age of 22 years. Brain magnetic resonance imaging (MRI) showed increased signal intensity in the white matter along with the involvement of the bilateral corticospinal tracts. GALC deficiency was confirmed by biochemical analysis. DNA sequencing revealed two mutations (c.865G > C: p. G289R and c.136G > T: p. D46Y) in GALC. The clinical characteristics, brain MRI, biochemical and molecular findings led to the diagnosis of Krabbe disease.
Conclusion
Clinical and neuroimaged signs, positive enzymatic analysis and molecular data converged to definite diagnosis in this neurodegenerative disease.
Background
Krabbe disease (MIM 245200) is a rare inherited metabolic, neurodegenerative disease, due to the deficiency of the enzyme GALC. It is a lysosomal hydrolase, and its deficiency leads to accumulation of galactosylceramide and psychosine. The latter of these GALC substrates is cytotoxic at enhanced concentrations which seem to explain rapid degeneration of myelin-generating cells in Krabbe disease. This severe lysosomal storage disorder starts in the classical early-infantile form with a rapid downhill course around the first 6 months of life [1]. Compared to this acute disease form, the late-onset forms have a slower clinical progression [2]. Depending on the time of disease onset, the late-onset forms of Krabbe disease are categorized into [3]: late-infantile (6 months to 3 years), juvenile (3-8 years), and adult [4]. Cerebral MRI, especially on T2 W scans document the demyelination of the bilateral pyramidal tracts and parieto-occipital white matter [5, 6]. The GALC gene, spanning 60 kb of genomic DNA on chromosome 14q31, encodes the enzyme β-galactocerebrosidase, which is critical for glycosphingolipid catabolism [7]. According to the Human Gene Mutation Database (HGMD), more than 130 mutations have been catalogued. At least 128 of them were viewed as being pathogenic of Krabbe disease [8].
Here we report the GALC mutations, a known and a novel one, in Chinese siblings with late-onset Krabbe disease.
Case presentation
Patient 1
A 25-year-old male, from China, born to unrelated parents was presented to the First People’s Hospital of Huizhou city, China. The clinical manifestations were spastic gait disturbance and vision loss (Table 1). He was suffering from mild gait difficulties by the age of 5 years; the ambulation was unstable, and he could fall easily. The vision loss was reported at the age of 8 years, while the cognitive development was normal. He was born at full term by uncomplicated delivery. The neurological examination of the patient revealed ocular motility disorders, horizontal nystagmus, absence of the left pupillary light reflex, pes cavus, spastic paraparesis on lower limbs, exaggerated bilateral patellar tendon reflexes, ankle clonus, and positive Babinski sign, while no detectable defect was found in the finger-to-nose test, sensory function. The laboratory biochemical studies of full blood count, liver function, plasma electrolytes, thyroid function, vitamin B-12 and folate, sex hormone, autoantibody profile and syphilis serology exhibited typical levels. Cerebrospinal fluid tests revealed increased protein (1186 mg/L); the normal value was 140–450 mg/L. The GALC enzymatic activity [9] detected by Bio-Tek FLx 800 fluorescent analyzer in leukocytes was decreased (3.9 nmol/mg/17 h); the normal value was 18–75 nmol/mg/17 h protein.
The described findings gave reason to perform molecular analysis of the GALC gene. The direct sequencing of the GALC gene (Reference mRNA sequence: NM_000153) in this patient identified a novel missense mutation (c.865G > C: p. G289R) in exon 8 along with a known missense mutation [10] (c.136G > T: p. D46Y) in exon 1 (Figs. 1 and 2). The former mutation was heterozygous in the mother, while the latter was heterozygous in the father.
Brain MRI revealed a high-intensity signal in the left central gyrus cortex by fluid-attenuated inversion recovery (FLAIR) as well as T2-weighted images, while a decreased signal in the T1-weighted images and high-intensity lesions in the bilateral corticospinal tracts were detected (Fig. 3). Cervical spine and thoracic spine MRI showed mild atrophy of the spinal cord (Fig. 4). Moreover, electromyography indicated peripheral nerve demyelination, and both visual evoked potentials (VEP) and brainstem auditory evoked potential (BAEP) were normal.
Patient 2
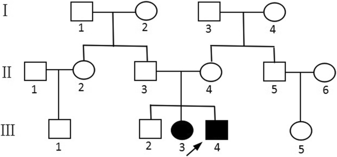
In the family history, his elder sister’s development was normal until the age of 4 years when spastic gait disturbance and dysarthria were noticed. She suffered from mental and motor regression, and hence, faced difficulties in schooling. She became wheelchair-bound and demented at the age of 22 years. She could not understand what was said to her but responded with a smirk. Other family members, including her parents and elder brother, were unaffected at the time of this analysis (Fig. 5). The GALC enzymatic activity revealed 4.4 nmol/mg/17 h. The GALC genotype was also studied in Patient 2. She carried two heterozygous GALC mutations (p.G289R and p.D46Y), the same as the Patient 1 (Fig. 2).
The mutations were analyzed to assess their pathogenicity. The SIFT scores of the mutations were 0.003 (p.G289R) and 0.013 (p.D46Y), respectively, and the Polyphen2 scores were 0.905 (p.G289R) and 1 (p.D46Y), respectively.
Thus, Krabbe disease was diagnosed in both patients. Since effective therapy is limited, Patient 1 was treated with neuro-nutrition drugs, such as 30 mg per day vitamin B-1 and 1.5 mg per day vitamin B-12 for about 1 month. But his condition was not relieved.
Discussion and conclusions
Several Chinese cases were reported, and more were scattered cases. A study investigated the clinical symptoms of 22 unrelated Chinese patients diagnosed with Krabbe disease. They found the late-onset form of Krabbe disease was more prevalent kind in patients [11].
We described two individuals from a Chinese family affected with spastic paraparesis. Herein, we made a comparison between the two patients’ clinical presentation and with other published Chinese cases [10,11,12,13,14,15,16,17,18,19,20,21] (Table 2). Motor regression, spasticity, hearing and vision impairment, irritability and excessive crying presented in the early-infantile patients. Mental and motor regression, vision impairment were the main symptoms of the late-infantile patients. The juvenile patients had walking impairment and mental regression as main symptoms. The adult patients were heterogeneous with various symptoms included spastic gait disturbance, hemiplegia, vision impairment, aphasia and mental regression. Comparison to the Patients 1, the Patient 2 had severer symptoms. By the age of 22, she had become wheelchair-bound and demented.
In the Patient 1, electromyography indicated peripheral nerve demyelination, while brain MRI showed an increased signal intensity in the white matter encompassing the bilateral corticospinal tracts. The GALC enzymatic activity in leukocytes was 3.9 nmol/mg/17 h. In the Patient 2, the GALC enzymatic activity revealed 4.4 nmol/mg/17 h. These low activities proposed the diagnosis of Krabbe disease in both patients.
Furthermore, GALC gene mutations were found in the patients. The first novel mutation was a single nucleotide substitution (c.865G > C) in exon 8 of the GALC gene, resulting in glycine substitution to arginine at position 289 (p. G289R). This mutation was heterozygous in the proband’s mother. The second mutation (c.136G > T) found in our patient was also a single nucleotide substitution in exon 1, which caused a substitution of aspartic acid to tyrosine at position 46 (p. D46Y). The two patients inherited this mutation from their father, who was heterozygous for the mutation. Interestingly, this mutation was reported in another patient with adult-onset, although no vision loss was reported [10, 22].
The phenotype and genotype for the Krabbe disease show considerable variation worldwide, thus rendering difficulty in accurate diagnosis [23]. The differential diagnosis includes hereditary spastic paraplegia, Charcot-Marie-Tooth disease, and Kennedy disease. Brain MRI and GALC activity assay are essential for patients manifesting chronic progressive corticospinal tract impaired. However, the relationship between the deficiencies in the lysosomal enzyme activities and the degree of clinical severity appears obscure [21, 24]. Both the two mutations are reported in the gnomad dataset (http://gnomad.broadinstitute.org). As there is no prior case report of Krabbe patients carrying the mutation (c.865G > C: p.G289R), the allele frequency information for p.G289S from gnomad is 4.067e-6, which suggests the mutation might be probably damaging. Furthermore, based on SIFT and Polyphen2, we suggest that the two mutations (c.865G > C: p.G289R and c.136G > T: p.D46Y) were “likely pathogenic.”
The present study describes two GALC mutations shared by two Chinese siblings with juvenile-onset of Krabbe disease and decreased GALC enzyme activity. These mutations might contribute towards increasing the public awareness about Krabbe disease and enriching the pathogenic database of GALC.
Availability of data and materials
The authors declare that all the data are contained within the manuscript.
Abbreviations
- BAEP:
-
Brainstem auditory evoked potential
- FLAIR:
-
Fluid-attenuated inversion recovery
- GALC:
-
Galactocerebrosidase
- HGMD:
-
Human Gene Mutation Database
- MRI:
-
Magnetic resonance imaging
- VEP:
-
Visual evoked potentials
References
- 1.
Debs R, et al. Krabbe disease in adults: phenotypic and genotypic update from a series of 11 cases and a review. J Inherit Metab Dis. 2013;36(5):859–68.
- 2.
Hossain MA, et al. Late-onset Krabbe disease is predominant in Japan and its mutant precursor protein undergoes more effective processing than the infantile-onset form. Gene. 2014;534(2):144–54.
- 3.
Xu C, et al. Six novel mutations detected in the GALC gene in 17 Japanese patients with Krabbe disease, and new genotype–phenotype correlation. J Hum Genet. 2006;51(6):548–54.
- 4.
Tappino B, et al. Identification and characterization of 15 novel GALC gene mutations causing Krabbe disease. Hum Mutat. 2010;31(12):E1894–914.
- 5.
Kardas F, et al. A novel homozygous GALC mutation: very early onset and rapidly progressive Krabbe disease. Gene. 2013;517(1):125–7.
- 6.
Krägeloh-Mann I, et al. Late onset Krabbe disease due to the new GALC p.Ala543Pro mutation, with intriguingly high residual GALC activity in vitro. Eur J Paediatr Neurol. 2017;21(3):522–9.
- 7.
Matthes F, et al. Enzyme replacement therapy of a novel humanized mouse model of globoid cell leukodystrophy. Exp Neurol. 2015;271:36–45.
- 8.
Zerkaoui M, et al. Clinical and molecular report of novel GALC mutations in Moroccan patient with Krabbe disease: case report. BMC Pediatr. 2015;15:182.
- 9.
Zheng JP, Sheng HY, L HY. The clinical features and molecular genetic assay of globoid cell leukodystrophy (Krabbe disease). Chin J Pediatr. 2014;29(5);367-72.
- 10.
Da YW, et al. Clinical and imaging features and genetic analysis of a case with adult-onset Krabbe disease. Zhonghua Yi Xue Yi Chuan Xue Za Zhi. 2013;30(5):585–8.
- 11.
Zhao S, et al. Large-scale study of clinical and biochemical characteristics of Chinese patients diagnosed with Krabbe disease. Clin Genet. 2018;93(2):248–54.
- 12.
Chen XC, Al E. Detection of galactocerebrosidase activity in dried blood spots. Int J Pediatr. 2015;4(471-473).
- 13.
Ma XW, Zhao JY, Zhu LN. Application of next generation sequencing technology for genetic diagnosis of a case with globoid cell leukodystrophy. J Clin Pediatr. 2017;(8):35:625-8.
- 14.
Mao CH, Xie MQ, Liu CY. Adult onset leukodystrophy manifested as spastic paraplegia. Chin J Neurol. 2015;(9):48,748-52.
- 15.
Zhang HW, F GX, YE J. Sphingolipidoses of lysosomal storage disorders. J Clin Pediatr. 2010;28(3):201-6.
- 16.
Zhang Y, Ding Y, LI XY. The clinical and genetic features of early-onset globoid cell leukodystrophy in one boy. J Clin Pediatr. 2014;(10):976-9.
- 17.
Zhang T, et al. Adult-onset Krabbe disease in two generations of a Chinese family. Annals of translational medicine. 2018;6(10):174–174-174.
- 18.
Ren XT, Yang Y, Wang CZ. A case of Krabbe disease. Zhonghua Er Ke Za Zhi. 2013;51(1):69–70.
- 19.
Wang X, et al. The use of targeted genomic capture and massively parallel sequencing in diagnosis of Chinese leukoencephalopathies. Sci Rep. 2016;6:35936.
- 20.
Yang Y, et al. Four novel GALC gene mutations in two Chinese patients with Krabbe disease. Gene. 2013;519(2):381–4.
- 21.
Lim SM, et al. Patient fibroblasts-derived induced neurons demonstrate autonomous neuronal defects in adult-onset Krabbe disease. Oncotarget. 2016;7(46):74496–509.
- 22.
Shao Y, et al. Mutations in GALC cause late-onset Krabbe disease with predominant cerebellar ataxia. neurogenetics. 2016;17(2):137–41.
- 23.
Liao P, Gelinas J, Sirrs S. Phenotypic variability of Krabbe disease across the lifespan. Can J Neurol Sci. 2014;41(1):5–12.
- 24.
Xu C, et al. Six novel mutations detected in the GALC gene in 17 Japanese patients with Krabbe disease, and new genotype-phenotype correlation. J Hum Genet. 2006;51(6):548–54.
Acknowledgements
The authors wish to thank every departments of the First People’s Hospital of Huizhou City.
Funding
This study was supported by Natural Science Foundation of Guangdong Province, China (No. 2015A030313834, to CL). The funding body played a role in collection, analysis, and interpretation of data.
Author information
Affiliations
Contributions
SZ made contributions to acquisition of data, analysis and interpretation of data, and wrote the manuscript. LK and CL conducted the manuscript editing, provided insightful thoughts and design. LC and TZ revised the manuscript critically for important intellectual content. All authors read and approved the final manuscript.
Corresponding author
Ethics declarations
Ethics approval and consent to participate
The Ethics Committee of the First People’s Hospital of Huizhou city approved the study protocol. An informed written consent was taken from the patients to participate in the study.
Consent for publication
A written informed consent in a local language, approved by the Ethics Committee of the First People’s Hospital of Huizhou city, was provided by the Patient 1 and their mother, on the Patient 2’s behalf. The consent covered the publication of potentially identifying personal and medical information including any associated images. A copy of the consent is available for review by the Editor of this journal.
Competing interests
The authors declare that they have no competing interests.
Additional information
Publisher’s Note
Springer Nature remains neutral with regard to jurisdictional claims in published maps and institutional affiliations.
Rights and permissions
Open Access This article is distributed under the terms of the Creative Commons Attribution 4.0 International License (http://creativecommons.org/licenses/by/4.0/), which permits unrestricted use, distribution, and reproduction in any medium, provided you give appropriate credit to the original author(s) and the source, provide a link to the Creative Commons license, and indicate if changes were made. The Creative Commons Public Domain Dedication waiver (http://creativecommons.org/publicdomain/zero/1.0/) applies to the data made available in this article, unless otherwise stated.
About this article
Cite this article
Zhuang, S., Kong, L., Li, C. et al. GALC mutations in Chinese patients with late-onset Krabbe disease: a case report. BMC Neurol 19, 122 (2019). https://doi.org/10.1186/s12883-019-1345-z
Received:
Accepted:
Published:
Keywords
- Krabbe disease
- Late-onset
- Galactocerebrosidase
- GALC gene
- Brain MRI




